查看更多的原位表征系统仪器
台式X射线吸收谱仪
Deep Inspectra X1谱仪是由北京中研环科科技有限公司研发设计的新一代专用于实验室级别的X 射线吸收精细结构谱仪系统。
该谱仪采用前沿的Rowland结构设计,可使得实验室研究人员进行 简单、便捷的XAFS测试,实现机时自由!
台式X射线吸收谱仪
Deep Inspectra X1谱仪,采用前沿的Rowland结构设计,可使得实验室研究人员进行
简单、便捷的XAFS测试,实现机时自由!
产品优势
- 专业的仪器操作/数据处理培训
- 国内资深团队打造技术/售后有保障
- 台式原位XAFS系统核心部件、原位测试系统可定制;
- 定制化程度高,配置丰富
- 原位系统程序化集成度高,可实现一键式体验
产品详情

原位池配件

基于实验室XAFS谱仪
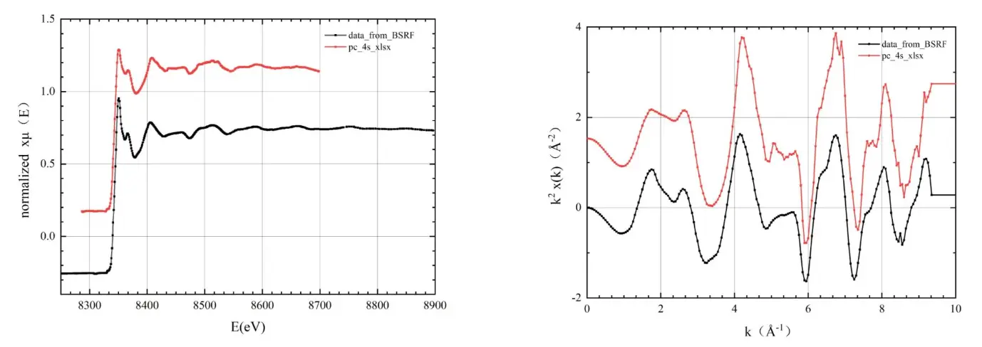
中研环科Deep Inspectra X1实验室XAFS谱仪与同步辐射XAFS数据比较(实验室采谱时间均为28min,20ev<e0<30ev< span="">区间范围设置为0.5ev步长)
1.金属Ni foil的数据对比图

2. 不同浓度NiO的数据对比图

应用案例-新能源电池体系
软包电池高镍体系LiNi0.9Co0.1O2工况测试数据from中研环科原位XAFS表征系统:

软包电池常温环境下充电过程中的原位XANES数据(左图) VS 软包电池高温环境(60℃)下充电过程中的原位XANES数据(右图):

软包电池实际工况测试场景:

品牌:
北京中研环科原位表征系统定制